电路保护中的欠压/过压闭锁:使用比较器,实用巧设计

电路保护中的欠压/过压闭锁:使用比较器,实用巧设计

作者:Alan Yang
关键词:电路设计,保护

在电子设备的实际应用中,可能会遇到输入电压不稳的情况。例如使用电池的便携式设备应用,输入电压Vin可能很难保持非常稳定。为了防止电压过低或过高影响后续电路,有时有必要增加欠压/过压闭锁设计。

欠压闭锁(UVLO)/ 过压闭锁(OVLO)两个概念的定义如下:

·欠压闭锁(UVLO),输入电压达到某一阈值,后续电路导通,可防止下游电子系统在异常低的电源电压下工作。
·过压闭锁(OVLO),输入电压超过某一阈值,后续电路断开,可保护系统免受极高电源电压的影响。

本文与大家探讨,如何使用比较器来实现欠压/过压闭锁,并利用电阻分压器调整电源欠压和过压闭锁阈值,同时通过引入迟滞设计来提高整个电路抗噪声能力。

欠压闭锁(UVLO) 电路设计

如下图所示,为了实现欠压闭锁(UVLO) 电路设计,我们需要:

  • 一个比较器
  • 一个基准电源VT
  • 一个功率开关(比如MOS管)
  • 分压电阻,用来调节阈值
图1:电阻分压设计中的欠压闭锁电路(图片来源:ADI)

当输入电压从0 V开始上升到UVLO阈值电压之前,功率开关保持断开状态;超过UVLO阈值电压,功率开关导通,整个电路正常工作。

欠压闭锁(UVLO) + 过压闭锁(OVLO)电路设计

与使用两个电阻串联相比,三个电阻串联可设置欠压和过压闭锁阈值。

图2:欠压闭锁(UVLO) + 过压闭锁(OVLO)电路设计(图片来源:ADI)

如上图所示,两个比较器输出连接到逻辑与门,逻辑与门再连接功率开关。

当输入电压从0V到UVLO阈值电压,电路断开;从UVLO阈值电压到OVLO阈值电压,电路导通;超过OVLO阈值电压,电路断开。

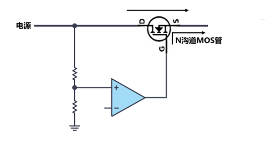
  • 功率开关的选择:N沟道MOS管 vs. P沟道MOS管

在欠压/过压闭锁设计中,功率开关可以使用N沟道或P沟道MOS管来实现。

使用N沟道MOS管作为功率开关时,会有一个小问题, 如下图所示:

图3:使用N沟道MOS管,作为欠压闭锁电路功率开关(图片来源:ADI)

当栅极(G)电压为低电压(例如:0 V)时断开(高电阻)。当栅极(G)电压为高电压时导通,为了完全导通(低电阻)N沟道MOS管,栅极(G)电压必须比源极电压(S)高出MOS管阈值电压。而导通时,MOS管源极(S)与漏极(D)电压一致,也就是要求栅极(G)电压必须比电源电压高出MOS管阈值电压。因此,这需要使用电荷泵来解决这个问题。

当然,使用一些专用的欠压/过压保护芯片——如LTC4365LTC4367LTC4368——它们集成了比较器和电荷泵。可驱动N沟道MOSFET,同时静态功耗较低。

P沟道MOSFET不需要使用电荷泵,但栅极电压极性相反;也就是说,低电压时开关导通,而高电压时断开P沟道MOS管。

带有迟滞功能的欠压闭锁电路/欠压闭锁电路

对于上面的应用,如果输入电压上升缓慢并且有噪声,或者在电池的应用场景中,电池本身的内阻导致电压随着负载电流变大而下降,比较器输入电压可能会在阈值电压附近波动。

为了避免这种类型的波动导致电路的反复振荡,需要引入迟滞来避免这种振荡。比如使用有磁滞的比较器,或者加一些被动器件来实现磁滞功能,从而提高比较器抗噪声能力。

如下图所示,欠压闭锁电路中,在比较器的正输入与输出之间增加一个电阻(RH),来实现延迟。

图4:带有迟滞功能的欠压闭锁电路 (图片来源:ADI)

如果过压OVLO需要带有迟滞功能,该如何实现呢?增加迟滞的另一个方法是,可以加一个开关来改变底部电阻有效值。

图5:带有迟滞功能的欠压/过压闭锁电路 (图片来源:ADI)

该方法在欠压闭锁电路和过压闭锁电路中均可使用。

  • 带磁滞功能的比较器

要实现磁滞功能,一种简便的方法是直接使用带磁滞功能的比较器。

可以在Digi-Key筛选器中,在类型栏中选择“窗口”,即是带磁滞功能的比较器。(Digi-Key带磁滞功能比较器

图6:在Digi-Key网站中搜索带磁滞功能比较器

这类比较器会针对上升输入(例如:V +窗口宽度/2)和下降输入(例如:V – 窗口宽度/2)提供不同的阈值。

图7:带磁滞功能比较器的输入输出关系(图片来源: ADI LTC1042CN8#PBF数据手册)

本文小结

基于比较器的相同控制电路,利用电阻分压器,可以轻松实现欠压和过压电路设计。面对电源噪声,可以使用带有迟滞功能的比较器,也可以调节反馈来实现迟滞功能,以防止电源超过阈值时出现电源开关打开和关闭颤振。

更多有关电路保护的技术信息, 请点击以下链接参阅相关文献,也欢迎大家在文末留言讨论。

———————————————————–

如有任何问题,欢迎联系得捷电子Digi-Key客服团队。

中国(人民币)客服
- 400-920-1199
- service.sh@digikey.com
- QQ在线实时咨询 |QQ号:4009201199


中国(美金)/ 香港客服
- 400-882-4440
- 8523104-0500
- china.support@digikey.com

Digikey WeChat QR Code

到微信搜寻“digikey”或“得捷电子
关注我们官方微信
并登记成会员,
每周接收工程师秘技,
赚积分、换礼品、享福利

头像
得捷电子

评论已关闭。

Copyright©DigiKey Electronics